Numérisation : ça continue !

État civil, hypothèques et matricules militaires : certains registres seront momentanément indisponibles.

Documents des Archives départementales de la Haute-Vienne

Après les opérations de 2014, 2015 et 2016, de nouveaux registres partent en numérisation à compter de lundi prochain 19 février

Sont concernés :

l'état civil du début du XXe siècle ;

les registres matricules des classes 1867-1877 ;

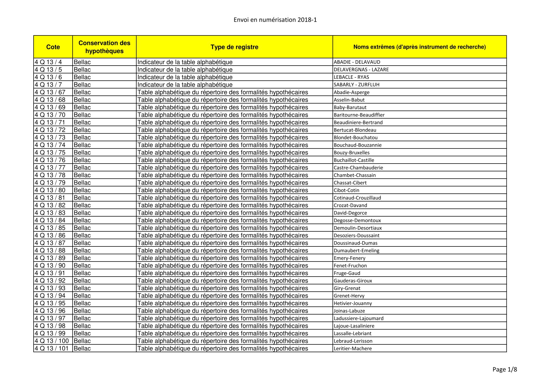
les indicateurs et tables alphabétiques des conservations des hypothèques de Bellac, Limoges, Rochechouart et Saint-Yrieix-la-Perche.

Vous trouverez ci-dessous le détail des cotes concernées. Ces documents ne seront donc temporairement pas disponibles en salle de lecture.

Leur retour est prévu pour le 24 avril. Ils seront progressivement mis en ligne.

Veuillez nous excuser pour le désagrément occasioné,

La Direction des Archives départementales

Partager la page